문제 설명
n개의 노드가 있는 그래프가 있습니다. 각 노드는 1부터 n까지 번호가 적혀있습니다. 1번 노드에서 가장 멀리 떨어진 노드의 갯수를 구하려고 합니다. 가장 멀리 떨어진 노드란 최단경로로 이동했을 때 간선의 개수가 가장 많은 노드들을 의미합니다.
노드의 개수 n, 간선에 대한 정보가 담긴 2차원 배열 vertex가 매개변수로 주어질 때, 1번 노드로부터 가장 멀리 떨어진 노드가 몇 개인지를 return 하도록 solution 함수를 작성해주세요.
제한 사항
- 노드의 개수 n은 2 이상 20,000 이하입니다.
- 간선은 양방향이며 총 1개 이상 50,000개 이하의 간선이 있습니다.
- vertex 배열 각 행 [a, b]는 a번 노드와 b번 노드 사이에 간선이 있다는 의미입니다.
| n | vertex | return |
| 6 | [[3, 6], [4, 3], [3, 2], [1, 3], [1, 2], [2, 4], [5, 2]] | 3 |
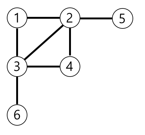
예제의 그래프를 표현하면 아래 그림과 같고, 1번 노드에서 가장 멀리 떨어진 노드는 4,5,6번 노드입니다.

문제 링크
https://programmers.co.kr/learn/courses/30/lessons/49189
코딩테스트 연습 - 가장 먼 노드
6 [[3, 6], [4, 3], [3, 2], [1, 3], [1, 2], [2, 4], [5, 2]] 3
programmers.co.kr
풀이
- 처음엔 bfs로 풀이. 시간초과
# bfs 풀이 - 시간 초과
from collections import deque
def solution(n, edge):
answer = 0
graph = [ [0]*(n+1) for _ in range(n+1) ]
q = deque()
distance = [0] * (n+1)
for a, b in edge:
graph[a][b] = graph[b][a] = 1
q.append(1)
distance[1] = 0
while q :
v = q.popleft()
for i in range(1,n+1):
if graph[v][i] == 1 and distance[i] == 0:
distance[i] = distance[v] + 1
q.append(i)
distance = distance[2:]
return distance.count(max(distance))
- 다익스트라로 해결
import heapq
INF = int(1e9)
def solution(n, edge):
graph = [ [] for _ in range(n+1)]
distance = [INF] * (n+1)
for c,d in edge:
graph[c].append((d,1))
# 양방향으로 해줘야함
graph[d].append((c,1))
q = []
heapq.heappush(q, (0,1))
distance[1] = 0
while q :
# 가장 최단거리가 짧은 노드에 대한 정보 꺼내기
dist, now = heapq.heappop(q)
# 이미 처리된 적이 있으면 무시
if distance[now] < dist :
continue
for i in graph[now]:
cost = dist + i[1]
if cost < distance[i[0]]:
distance[i[0]] = cost
heapq.heappush(q, (cost,i[0]))
# 0이랑 1번 노드 제외
distance = distance[2:]
return distance.count(max(distance))'개발 > algorithm' 카테고리의 다른 글
| [프로그래머스][level3] 단어 변환 -python (0) | 2021.12.31 |
|---|---|
| [프로그래머스][level3] 네트워크 -python (0) | 2021.12.29 |
| [프로그래머스] [level2] 소수 찾기 - python (0) | 2021.12.29 |
| [프로그래머스][level2] 튜플-python (0) | 2021.12.29 |
| [프로그래머스][level2] 방문 길이 -python (0) | 2021.12.28 |